On the nature and significance of a free lunch

 

Some economists think that there are no free lunches. For this reason, they close their eyes to the free lunch that presently exists in the inefficient labour market. It actually can be shown that the economy is full of free lunches. For example, in a free country, a transaction occurs only when both parties get something out of it. Another example is economic growth. When the possibility of a free lunch is accepted, then we can discuss unemployment in more realistic terms.

 

 

Thomas Cool, July 25 1996, Report no 96-08

 

 

 

Introduction

The American Science Fiction writer Robert Heinlein once created a rough Moon Colony where the rules of the free market are exploited to their limits. In this colony the phrase "Your money or your life" is not a criminal threat but a sound business proposal - and a bargain for many as well. Another example is that all incidents in the novel are subject to bets - and after some consideration, the reader of this novel may well accept this as a good system of rational contingent forward markets. Then, properly, the slogan & law of this Moon Colony is TANSTAAFL: "There Aint No Such Thing As A Free Lunch".

In similar vein, the British newspaper The Economist (1994) and the Dutch economist Van Bergeijk (1994) state, in reaction to proposals by Snower, that there would be no free lunch on the labour market. Even with current unemployment, it would not be possible to change taxes, contributions and benefits in such manner that this would raise employment opportunities for the unemployed without other agents having to pay some bill.

I myself am of the opinion that I have shown, in mathematical manner, that the current form of unemployment is inefficient, see Cool (1989-1996). In other words, on a logical basis, there exists a Pareto improving alternative, so that some can advance but not at the cost of others.

In summary, there are discussants pro and contra the existence of a free lunch on the labour market. And this debate on the labour market suffers from a general vision that there never could exist a free lunch. The "contra" discussants adhere to the TANSTAAFL philosophy regardless of whatever other people say. My diagnosis is that this is one of the reasons why the debate on unemployment is rather stuck.

TANSTAAFL is rather "accepted wisdom" and not something that is subject to critical discussion. There are only few explicit statements on the supposed absence of a free lunch. A recent statement is by Cnossen & Van Ewijk (1995):

"No society limited in resources can for a moment proceed from the premise [sic] that there is such a thing as a free lunch. Dispassionate analysis of the problem and hard-headed calculation of the costs of alternative courses of action are called for. This applies especially to the economics discipline, which gives center stage to the concept of opportunity costs."

So, evidently, in the views of these authors, people disagreeing to their views on this issue are emotional or soft-headed !

Coase (1994) has a fine anecdote. He relates of a wealthy benefactor of the University of Chicago, who becomes alarmed by certain rumours and therefor has his niece moved to another university: But good relations are restored again when it is explained that at Chicago "there is no such thing as free love".

The TANSTAAFL philosophy likely is spread more widely, and I think that we somehow might welcome the Cnossen & Van Ewijk statement, since it makes explicit what often is only implicit. In the following I shall deal with the problem in general. I hope to banish TANSTAAFL to the domain of Science Fiction, so that thereafter we can discuss the labour market in more useful terms.

The more innocent examples of free lunches happen around us every day. In a free society, an economic transaction only occurs when both parties advance. Buying your groceries may just repeat your transaction of yesterday, but it remains a transaction. Economic growth is another instance, and also a phenomenon that has been with us since the dawn of mankind. The next elaboration concerns economic growth. By regarding the consequences of an invention we will better appreciate the nature and significance (as Robbins might say) of a free lunch.

I wish to express my gratitude and respect to Asahi Noguchi (1994), who has created the Mathematica programs that we shall use in this exposition (see also Cool (1995e)).

 

Economic growth

 

An invention in one industry will generally have consequences for the entire economy. The industry of origin can seldom claim all proceeds. When the optimal ratio of production factors changes, then prices change. E.g. just by mentioning the possibility of other prices, one signals to the other parties that there is room for discussion. The other parties will use that room, and their knowledge and possessions, to claim part of the economic value of any innovation. Other parties have had no effort in bringing about the innovation, but they consider themselves partners in the industry, they know their leverage, and, thus, exploit it. Their advantage not only concerns the consequences of a better product, but also an improvement of their income position.

 

Model

 

In a general equilibrium model we define an economy with 400 units of labour and 600 units of capital. The economy produces food and clothing, and a social welfare function (SWF) determines the optimal combination. Here, our SWF will be a Cobb-Douglas function that neglects the distribution of income:

(SWF)

 

Labour a en capital k are allocated to the food (v) and clothing (k) industries via av + ak = 400 and kv + kk = 600. Industrial output is determined by the production functions. Here we take CES-functions, that have a constant elasticity of substitution between capital and labour:

Equilibrium and the optimum are found at 278 units of food and 253 units of clothing, with a distribution of the factors of production of av/ak = 299/101 and kv/kk = 210/390.

The allocation can be shown using two figures. Figure 1 confronts the social welfare function with the Production Possibility Curve (PPC). The PPC gives those combinations of food and clothing that can be produced with the scarce resources. The choice of the highest possible value of the SWF generates a tangent of a contour of the SWF with the PPC. The tangent gives the optimal price ratio (thus trading ratio) of food and clothing.

 

Figure 1: Social Welfare and the Production Possibility Curve

 

Figure 2 confronts the production functions of the separate industries in an Edgeworth-Bowley diagram. The food industry has its origin in the lower left-hand corner, and the clothing industry has its origin in the top right-hand corner. The amounts of capital and labour that are not allocated to the food industry are allocated to the clothing industry. The drawn contour for the food industry gives those combinations of capital and labour that produce the same amount of food. That contour is touched in a tangent by a contour of the clothing industry. The collection of all tangency points is called the contract curve. The tangent drawn here passes through the optimum selected by the SWF. This tangent thus also determines the price ratio of wages and capital rent.

 

Figure 2: Edgeworth-Bowley diagram for the factors of production

 

Now we assume that there is an innovation in the clothing industry. This innovation can be of technical or organisational origin, and it causes that the same garment can be produced with a little less labour but a little more capital. To be concrete: the production possibility is discovered that can be stated in the production function clothing = CES[0.2, 0.5]. Is this innovation useful ? The answer appears to be that labour is the factor that is relatively scarce and that this innovation allows its better use, so that welfare can rise to 282 units of food and 269 units of clothing. The allocation of factors of production becomes av/ak = 309/91 and kv/kk = 202/398.

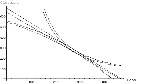
Figures 3 and 4 present the same as figures 1 and 2 but then for two situations, so that one may see how the economy changes. The figures speak for themselves. It will be clear that our analysis is comparative statics. How quickly the prices change, and how quickly the agents react, will be a question of dynamics.

 

Figure 3: SWF and PPC of two situations

 

Figure 4: Edgeworth-Bowley of two situations

 

 

The free lunch

 

Above model was not perfect, but it helps us to understand how a free lunch percolates through the economy. It helps us to understand what a free lunch actually is.

In above model, the innovation falls from heaven like manna. The innovation is the free lunch. One may see the tautology: If you accept the model, then there is a free lunch; and you accept the model if you see innovation as a free lunch.

One may hold that above model is incomplete. One would want to introduce a separate R&D sector, and then there will be a balancing of R&D costs and the expected increase in national income. As an economist, I’m very much in favour of developing such models. However, actually doing this only moves the question one station further, and does not answer the proper question. For, it is possible that an economy spends 99% of its resources to R&D, and still does not come up with innovations. Good ideas remain like manna from heaven.

You may hold the view that agents already expect economic growth, so that they will not regard it as a free lunch. But then, there can be a surprise idea, and this certainly would be a free lunch. Actually, this is also the situation that we encounter in the world around us. Our wealth is a cumulation of free lunches in the past. That we don’t experience this as a free lunch anymore, is more a sign of our over-indulgence, rather than a sign of our dynastic rationality.

Above innovation was discrete. What about continuous time ? Suppose that there is a gradual innovation and people expecting the path of development. However, perfect foresight is only an assumption. The past is determinate (by definition for scientific enquiry), the future is uncertain (though predictable). So there will always be surprises.

Let me rephrase the point that I want to make here. There are data (exogenes or endowments such as soil, sun, technical relations and the like), the economy depends on the use of these, and the development of the economy can be described in terms of the developments in these data. The data are for free. Ideas are part of these data, and the (major) source of uncertainty. In this terminology, there are free lunches by definition. That is the crux. When economists better deal with their definitions, we get better economics.

 

Conclusion

 

Using an abstract argument and a concrete small general equilibrium model, we showed that innovation and economic growth are an example of a free lunch for the whole economy. Our intention was to refute the attitude of "there aint no such thing as a free lunch". Hopefully, this refutation creates more room for discussion of proposals concerning the present immense inefficiency on the labour market. The latter discussion is especially important, since the major proposals for solving the inefficiency concern ideas by disinterested economists.

 

 

June 20 1995 & July 25 1996

 

Thomas Cool

PO Box 84399
NL 2508 AJ Scheveningen
Holland

Cool@CAN.NL

Http://www.can.nl/~cool

 

References

 

Asahi Noguchi (1993), "General Equilibrium models", in Varian (Ed), "Economic and financial modeling with Mathematica", Springer Telos 1993 pp 104-123

Bergeijk, P. van (1994) "Op zoek naar een gratis lunch", ESB 9-11-1994, pp1013-1017 ("In search of a free lunch") (Dutch)

Coase R. (1994), "Essays on economics and economists", Chicago, p200

Cnossen S. & C. van Ewijk (1995), "Introduction", De Economist, Vol 143, No 2 (May 1995), p107

Cool, T. (1992a), "Definition and Reality in the general theory of political economy; Some background papers 1989-1992", Magnana Mu Publishing & Research (English & Dutch)

Cool, T. (1992b, 1995c), "On the political economy of employment in the welfare state", revised paper taken from (1992a) (ewp-mac/9509001) contains theorem & proof

Cool, T. (1994a, 1995a), "Tax structure, inflation and unemployment", Magnana Mu Publishing & Research (ewp-mac/9508002)

Cool, T. (1994b), "Trias Politica & Centraal Planbureau", Samuel van Houten Genootschap (Dutch)

Cool, T. (1995b), "How a dead wrong OECD tax policy causes mass unemployment: An explanation using data for Holland 1950-1995" (ewp-mac/9508003)

Cool, T. (1995d), "Belastingstructuur, inflatie en werkloosheid", in NAD/CBS (1996) "Nederlandse Arbeidsmarktdag 1995, congres rapport", pp 173-188 (Dutch)

Cool, T. (1995e), "Economics programs written in Mathematica" (ewp-prog/9508001)

Cool, T. (1996a), "Unemployment solved ! A breakthrough in economic analysis", ewp-get/9604002

The Economist (1994), "No free lunch for the jobless", August 20 1994